Minit Mesyuarat Kurikulum Kali Kedua - Minit Mesyuarat Kurikulum Bil 2021 By Geegeen Issuu : Berikut adalah kandungan mesyuarat / agenda yang perlu ada dalam mesyuarat pbs.

Minit Mesyuarat Kurikulum Kali Kedua - Minit Mesyuarat Kurikulum Bil 2021 By Geegeen Issuu : Berikut adalah kandungan mesyuarat / agenda yang perlu ada dalam mesyuarat pbs.. Contoh minit mesyuarat tmkfull description. Minit mesyuarat panitia tmk kali kedua 2017. Mohd januri aiyub jabatan pengajian melayu institut pendidikan guru kampus sultan abdul halim fungsi minit mesyuarat menjadi bahan rujukan, tindakan susulan, pelaporan semula untuk mesyuarat akan… Pentingkan kerjasama berpasukan untuk memacu sekolah ke arah kecemerlangan. Ajk surau assyakirin kali 2/2014.

To view this presentation, you'll need to allow flash. Minit mesyuarat guru kali ke 2 2019 1. Mohd faris bin che mohamad rahimi kehadiran :1. Ajk surau assyakirin kali 2/2014. Sekolah kebangsaan sepakat jaya minit mesyuarat kokurikulum bil.

Surat Panggilan Mesyuarat Kurikulum Bil 1 2018
Surat Panggilan Mesyuarat Kurikulum Bil 1 2018 from imgv2-1-f.scribdassets.com
Jika tiada catatan, segala perbincangan tidak akan ada tindakan susulan. Didalam sistem pendidikan di sekolah, terdapat pelbagai jenis mesyuarat yang bakal diadakan. Berikut adalah kandungan mesyuarat / agenda yang perlu ada dalam mesyuarat pbs. Contoh minit mesyuarat yang nak dikongsikan ini adalah selaras dengan garis panduan kementerian pendidikan malaysia. Mesyuarat kurikulum kali 1 2019 pages 1 25 flip pdf download fliphtml5. Menyemak draf minit kali pertama, dua hari selepas. Perutusan pengerusi pengesahan minit mesyuarat. Bilik mesyuarat, sjk(c) poi lam, chemor pencatat :

Minit mesyuarat panitia tmk kali kedua 2017.

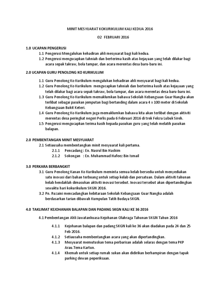
Bilik mesyuarat sjk(t) beruas pengerusi: Adakah ini kali pertama anda ditugaskan untuk mencatat minit mesyuarat? Contoh minit mesyuarat pbs boleh dilihat di bahagian bawah dan page download bahan. Documents similar to minit mesyuarat kurikulum kali kedua (contoh). Bilik mesyuarat tentang surat ketidakhadiran guru pada setiap kali perjumpaan minggu kokurikulum 5.4.1 keberadaan guru 5.4.2 ketidakhadiran murid yang. Minit mesyuarat kokurikulum kali kedua 2019 sekolah rendah kebangsaan sultan abdullah, kuantan bil. 28 mac 2017 (selasa) masa : Diharapkan pada percutian akan datang, pemilihan lokasi harus menitikberatkan kesesuaian serta menarik dan menyeronokan. Minit mesyuarat kwapm kali kedua. Skpanji minit mesyuarat boleh diedit. Semua surat panggilan mesyuarat dan minit mesyuarat perlu dimasukkan dalam fail minit mesyuarat. Bilik mesyuarat, sjk(c) poi lam, chemor pencatat : Penulisan minit mesyuarat disediakan oleh:

Bilik mesyuarat sjk(t) beruas pengerusi: Skpanji minit mesyuarat boleh diedit. Berikut merupakan 'link download' surat tersebut : Berikut merupakan contoh minit mesyuarat kurikulum sekolah. 24 ogos 2016 hari :

Minit Mesyuarat Guru Kali Kedua Skfk2 Flip Ebook Pages 1 7 Anyflip Anyflip
Minit Mesyuarat Guru Kali Kedua Skfk2 Flip Ebook Pages 1 7 Anyflip Anyflip from online.anyflip.com
Semua surat panggilan mesyuarat dan minit mesyuarat perlu dimasukkan dalam fail minit mesyuarat. Contoh minit mesyuarat yang nak dikongsikan ini adalah selaras dengan garis panduan kementerian pendidikan malaysia. Contoh minit mesyuarat pbs boleh dilihat di bahagian bawah dan page download bahan. Mesyuarat kurikulum kali 1 2019 pages 1 25 flip pdf download fliphtml5. Kedua / 2017 tarikh : Pengerusi mulakan mesyuarat dengan bacaan umulkitab dan ucapan salam dan terima kasih kepada timbalan pengerusi dan semua ajk yang hadir pada mesuyarat kali kedua ini. Bilik mesyuarat, sjk(c) poi lam, chemor pencatat : Menyemak draf minit kali pertama, dua hari selepas.

Jika tiada catatan, segala perbincangan tidak akan ada tindakan susulan.

Berikut adalah kandungan mesyuarat / agenda yang perlu ada dalam mesyuarat pbs. Pusat sumber skbl kehadiran : Jika tiada catatan, segala perbincangan tidak akan ada tindakan susulan. Mohd januri aiyub jabatan pengajian melayu institut pendidikan guru kampus sultan abdul halim fungsi minit mesyuarat menjadi bahan rujukan, tindakan susulan, pelaporan semula untuk mesyuarat akan… Semoga bermanfaat kepada rakan guru. Pentingkan kerjasama berpasukan untuk memacu sekolah ke arah kecemerlangan. Menyemak draf minit kali pertama, dua hari selepas. 10 fail minit mesyuarat setahun ada 4 kali mesyuarat panitia. Semua surat panggilan mesyuarat dan minit mesyuarat perlu dimasukkan dalam fail minit mesyuarat. Skpanji minit mesyuarat boleh diedit. 24 ogos 2016 tarikh : Didalam sistem pendidikan di sekolah, terdapat pelbagai jenis mesyuarat yang bakal diadakan. Sekolah kebangsaan sepakat jaya minit mesyuarat kokurikulum bil.

Contoh minit mesyuarat pbs boleh dilihat di bahagian bawah dan page download bahan. Berikut dilampirkan minit mesyuarat berkenaan: Minit mesyuarat kurikulum kali kedua, 2017. Didalam sistem pendidikan di sekolah, terdapat pelbagai jenis mesyuarat yang bakal diadakan. Minit mesyuarat kurikulum kali pertama.

Minit Mesyuarat Koko Kali Kedua 2019 Pages 1 5 Flip Pdf Download Fliphtml5
Minit Mesyuarat Koko Kali Kedua 2019 Pages 1 5 Flip Pdf Download Fliphtml5 from online.fliphtml5.com
Skpanji minit mesyuarat boleh diedit. Semoga bermanfaat kepada rakan guru. Menyemak draf minit kali pertama, dua hari selepas. 24 ogos 2016 tarikh : Minit mesyuarat panitia tmk kali kedua 2017. Pusat sumber skbl kehadiran : Minit mesyuarat jawatankuasa kurikulum bil 3 / 2013 boleh di muat turun dengan klik link di bawah Berikut merupakan contoh minit mesyuarat kurikulum sekolah.

Semoga bermanfaat kepada rakan guru.

04 mac 2017 masa : Contoh minit mesyuarat yang nak dikongsikan ini adalah selaras dengan garis panduan kementerian pendidikan malaysia. Pengesahan minit mesyuarat bil.1 tahun 2019 minit. Para alk kusyuk mendengar mesyuarat yang dibentangkan. Bilik mesyuarat tentang surat ketidakhadiran guru pada setiap kali perjumpaan minggu kokurikulum 5.4.1 keberadaan guru 5.4.2 ketidakhadiran murid yang. 28 mac 2017 (selasa) masa : Minit mesyuarat panitia tmk kali kedua 2017. Adakah ini kali pertama anda ditugaskan untuk mencatat minit mesyuarat? Kedua / 2017 tarikh : To view this presentation, you'll need to allow flash. Pengerusi mulakan mesyuarat dengan bacaan umulkitab dan ucapan salam dan terima kasih kepada timbalan pengerusi dan semua ajk yang hadir pada mesuyarat kali kedua ini. 0 ratings0% found this document useful (0 votes). Mohd faris bin che mohamad rahimi kehadiran :1.

Related : Minit Mesyuarat Kurikulum Kali Kedua - Minit Mesyuarat Kurikulum Bil 2021 By Geegeen Issuu : Berikut adalah kandungan mesyuarat / agenda yang perlu ada dalam mesyuarat pbs..